2022.01.25
Coursera - Machine Learning_Andrew Ng - Week 2
Multiple features(variables)

Gradient descent for multiple variables

Gradient descent in practice 1: Feature Scaling
- feature scaling
: simple trick to apply → make gradients run much faster and converge in a lot fewer other iterations.
: make sure features are on a similar scale ⇒ get every features into approximately a -1<=xi<=1 range
- mean normalization


Gradient Descent in practice 2: Learning rate

- Debugging: make sure gradient descent is working correctly
(use visualization using plot vs automatic convergence test)
If α is too small ⇒ slow convergence
If α is too big ⇒ J(θ) may not decrease on every iteration; may not converge
Features and Polynomial Regression

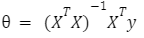
Normal Equation formula

⇒ Compare with Gradient Descent
| Gradient Descent | Normal Equation |
| needs to choose α | no need to choose α |
| needs many iterations | don't need iteratation |
| works well even when n is large | slow if n is very large + need to compute |
'AI NLP Study > Machine Learning_Andrew Ng' 카테고리의 다른 글
| Coursera - Machine Learning_Andrew Ng - Week 3 (Logical Regression) (0) | 2022.01.26 |
|---|---|
| Coursera - Machine Learning_Andrew Ng - Week 1 (0) | 2022.01.25 |
